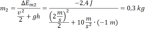
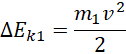
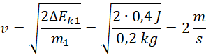
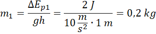
Na podstawie przyrostu energii potencjalnej obliczamy masę pierwszego klocka. Następnie, na podstawie przyrostu energii kinetycznej obliczamy prędkość układu. Wartość przyrostu energii mechanicznej pierwszego klocka jest równa wielkości ubytku energii drugiego klocka. Zapisujemy tę zależność wiedząc, że energia mechaniczna to suma energii kinetycznego i potencjalnej.