Na podstawie danych zawartych w treści zadania oblicz moc końcową silnika, aby wykorzystać maksymalną siłę tarcia statycznego.
Rozwiązanie
Wyjaśnienie
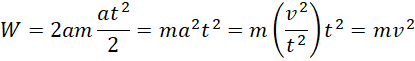
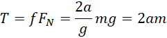
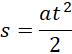
Aby obliczyć moc silnika, szukamy najpierw wartości pracy wykonanej przez siłę tarcia. W tym celu mnożymy siłę tarcia razy przebytą drogę. Wzór na wartość współczynnika tarcia wstawiamy, korzystając z wyliczeń w punkcie b.