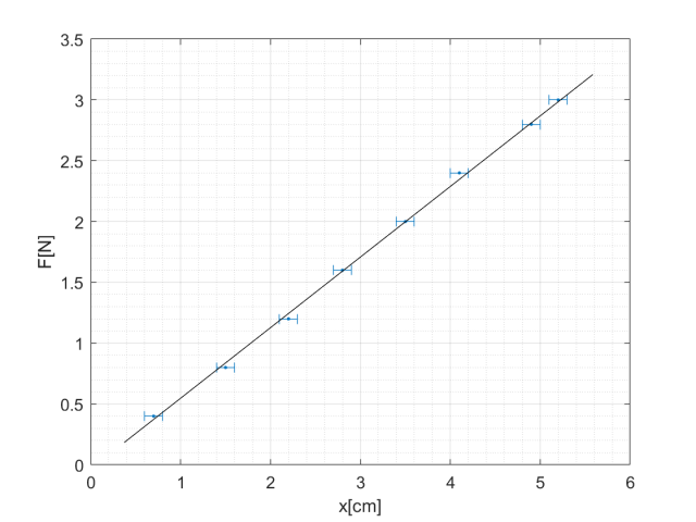
Na podstawie tabeli wyników sporządź wykres zależności , a następnie wyznacz na jego podstawie stałą sprężystości sprężyny.
Współczynnik sprężystości jest równy tangensowi kąta nachylenia wykresu, ponieważ wykres jest liniowy.
Zadanie 16.1.
Zadanie 16.2.
Podpunkt a)
Podpunkt b)
Zadanie 16.3.
Zadanie 16.4.
Zadanie 16.5.
Zadanie 16.6.
Podpunkt c)
Zadanie 16.7.
Zadanie 16.8.
Zadanie 16.9.
Zadanie 16.10.
Zadanie 16.11.
Zadanie 16.12.
Zadanie 16.13.
Zadanie 16.14.
Zadanie 16.15.
Zadanie 16.16.
Zadanie 16.17.
Zadanie 16.18.
Zadanie 16.19.
Zadanie 16.20.
Zadanie 16.21.
Zadanie 17.1.
Zadanie 17.2.
Zadanie 17.3.
Zadanie 17.4.
Zadanie 17.5.
Zadanie 17.6.
Zadanie 17.7.
Zadanie 17.8.
Zadanie 17.9.
Zadanie 17.10.
Zadanie 17.11.
Zadanie 17.12.
Zadanie 17.13.
Zadanie 17.14.
Zadanie 17.15.
Zadanie 17.16.
Zadanie 18.1.
Zadanie 18.2.
Zadanie 18.3.
Zadanie 18.4.
Zadanie 18.5.
Zadanie 18.6.
Zadanie 18.7.
Zadanie 18.8.
Zadanie 18.9.
Zadanie 18.10.
Zadanie 18.11.
Zadanie 18.12.
Zadanie 18.13.
Zadanie 18.14.
Zadanie 18.15.
Zadanie 18.16.
Zadanie 18.17.
Zadanie 18.18.
Zadanie 18.19.
Zadanie 18.20.
Zadanie 19.1.
Zadanie 19.2.
Zadanie 19.3.
Zadanie 19.4.
Zadanie 19.5.
Zadanie 19.6.
Zadanie 19.7.
Zadanie 20.1.
Zadanie 20.2.
Zadanie 20.3.
Zadanie 20.4.
Zadanie 20.5.
Zadanie 20.6.
Podpunkt d)
Zadanie 20.7.
Zadanie 20.8.
Podpunkt e)