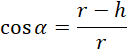
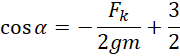
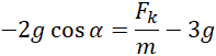
Obliczamy siłę naciągu nici i przyrównujemy ją do siły krańcowej, która zrywa nitkę. Z tej zależności wyznaczamy wzór na kwadrat prędkości, a następnie wyznaczamy zależność na tę samą wielkość, korzystając z zasady zachowania energii. Aby obliczyć kąt, zapisujemy wzór na cosinus kąta wychylenia, z którego wyprowadzamy wzór na wysokość i wstawiamy go do znalezionej wcześniej zależności.