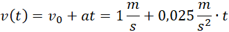
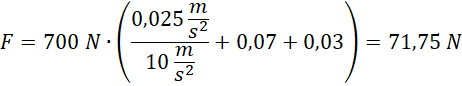
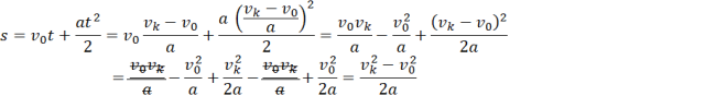
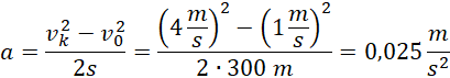
Zapisujemy wzór na moc. Najpierw poszukujemy siły, z jaką działał rowerzysta. W tym celu zapisujemy II zasadę dynamiki, uwzględniając wszystkie siły działające na rowerzystę. Aby znaleźć wartość przyspieszenia rowerzysty, korzystamy z równań ruchu jednostajnie przyspieszonego. Następnie wyznaczamy chwilową wartość prędkości rowerzysty. Na koniec wstawiamy wszystkie wyznaczone zależności do początkowego wzoru.