Skul.pl
  • Opracowania zadań z podręczników
  • Fizyka. Klasa 1. Podręcznik. Zakres podstawowy - rozwiązania i odpowiedzi
  • Zadanie 2.

Fizyka. Klasa 1. Podręcznik. Zakres podstawowy - rozwiązania i odpowiedzi

Podręcznik, Wydawnictwo: WSiP
Poprzednie

Zadanie 2. - strona 58

Następne

Zadanie

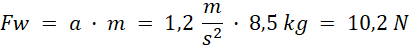
Jaka jest wartość oporów ruchu, jeśli ciało o masie 8,5 kg ciągnięte z siła 24 N porusza się z przyspieszeniem ?

Rozwiązanie

Wartość siły przeciwdziałającej ruchowi wynosi 13,8 N.

Skul

Wyjaśnienie

Siła wypadkowa działająca na ciało:

Wartość oporów ruchu:

Poprzednie
Następne

Fizyka - wybrane pytania

Zadanie 16.11.6., strona 111, Zrozumieć fizykę 4. Zakres rozszerzony. Zbiór zadań - rozwiązania i odpowiedzi
Zadanie 3., strona 147, Spotkania z fizyką. Klasa 8. Podręcznik - rozwiązania i odpowiedzi
Zadanie 3, strona 249, Fizyka. Klasa 8. Podręcznik - rozwiązania i odpowiedzi
Zadanie 13.5.11., strona 180, Zrozumieć fizykę 3. Zakres rozszerzony. Zbiór zadań - rozwiązania i odpowiedz.
Zadanie 23., strona 69, Fizyka. Klasa 7-8. Zbiór zadań - rozwiązania i odpowiedzi
Zadanie 3, strona 140, Zrozumieć fizykę. Klasa 4. Poziom rozszerzony. Podręcznik - rozwiązania i odpowiedzi
Zadanie 3., strona 58, Fizyka. Klasa 1. Podręcznik. Zakres podstawowy - rozwiązania i odpowiedzi
Zadanie 4, strona 179, Zrozumieć fizykę. Klasa 1.Podręcznik. Zakres rozszerzony - rozwiązania i odpowiedzi
Ćwiczenie 6.48., strona 89, Fizyka. Klasa 1-3. Zakres podstawowy. Zbiór zadań - rozwiązania i odpowiedzi
Ćwiczenie 2., strona 81, Fizyka. Świat fizyki. Klasa 8. Zeszyt ćwiczeń - rozwiązania i odpowiedzi
REKLAMA
Skul
Zadania z tego działu
Dynamika
43
Siły wokół nas. III zasada dynamiki
44

Zadanie 1.

50

Zadanie 2.

50

Zadanie 3.

50

Zadanie 4.

50

Zadanie 5.

50
Siła wypadkowa. I zasada dynamiki
51

Zadanie 1.

58

Zadanie 2.

58

Zadanie 3.

58

Zadanie 4.

58

Zadanie 5.

58
II zasada dynamiki
59

Zadanie 1.

66

Zadanie 2.

66

Zadanie 3.

66

Zadanie 4.

66

Zadanie 5.

66
Opory ruchu
67

Zadanie 1.

74

Zadanie 2.

74

Zadanie 3.

74

Zadanie 4.

74

Podpunkt a)

73

Podpunkt b)

74

Podpunkt c)

74

Zadanie 5.

74

Podpunkt a)

74

Podpunkt b)

74

Podpunkt c)

74
Spadanie ciał
76

Zadanie 1.

81

Zadanie 2.

81

Zadanie 3.

81

Zadanie 4.

81

Zadanie 5.

81
Ruch po okręgu
82

Zadanie 1.

88

Podpunkt a)

88

Podpunkt b)

88

Zadanie 2.

88

Zadanie 3.

88

Zadanie 4.

88

Zadanie 5.

88
Siły bezwładności
89

Zadanie 1.

96

Podpunkt a)

96

Podpunkt b)

96

Podpunkt c)

96

Zadanie 2.

96

Zadanie 3.

96

Podpunkt a)

96

Podpunkt b)

96

Zadanie 4.

96

Zadanie 5.

96
Zasady dynamiki – przykłady
97

Zadanie 1.

103

Zadanie 2.

103

Zadanie 3.

103

Zadanie 4.

103

Zadanie 5.

103
Powtórzenie działu
106

Zadanie 1.

107

Zadanie 2.

107

Zadanie 3.

107

Zadanie 4.

107

Zadanie 5.

107

Zadanie 6.

108

Podpunkt a)

108

Podpunkt b)

108

Zadanie 7.

107

Zadanie 8.

107

Zadanie 9.

107
Pełny spis treści
Skul
Artboard 1
Skul.pl
  • Napisz do nas
  • FAQ
  • Mapa Serwisu
  • Google Play
  • App Store

Korzystanie z portalu oznacza akceptację Regulaminu.
Polityka prywatności. Ustawienia preferencji. Copyright: INTERIA.PL 1999-2023 Wszystkie prawa zastrzeżone.