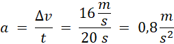
Należy obliczyć, jakie jest przyspieszenie, jeśli w ciągu 20 sekund rowerzysta zwiększa swoją prędkość o . Jaka drogę wówczas pokonał? Jak zmieniła się energia kinetyczna, a więc i potencjalna?
Rozwiązanie
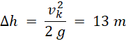
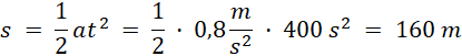
Przyspieszenie rowerzysty wynosi , w ciągu 20 sekund pokona on 160 m, natomiast jego wysokość zmniejszy się o 13 m.
Wyjaśnienie
Przyspieszenie rowerzysty:
Pokonana droga:
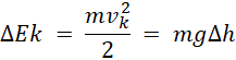
Zmiana energii kinetycznej (równa zmianie energii potencjalnej):