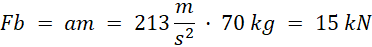
Wartość siły bezwładności działającej na pasażera wynosi 15 kN.
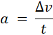
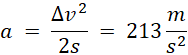
Opóźnienie samochodu:
Pasażer oraz pojazd przemieszczają się z tym samym opóźnieniem w różnych układach odniesienia (samochód w układzie związanym z drogą, natomiast pasażer w układzie związanym z samochodem), siła działająca na pasażera jest iloczynem tego przyspieszenia oraz masy: