Skul.pl
  • Opracowania zadań z podręczników
  • Fizyka. Klasa 1. Podręcznik. Zakres podstawowy - rozwiązania i odpowiedzi
  • Zadanie 3.

Fizyka. Klasa 1. Podręcznik. Zakres podstawowy - rozwiązania i odpowiedzi

Podręcznik, Wydawnictwo: WSiP
Poprzednie

Zadanie 3. - strona 103

Następne

Zadanie

Jaką prędkość uzyska skoczek na progu, jeśli belka startowa znajduje się 13,8 metra ponad nim? Pomijamy wszelkie opory ruchu.

Rozwiązanie

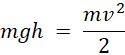
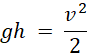
Skoczek na progu uzyska prędkość .

Skul

Wyjaśnienie

Pomijamy straty energii spowodowane oporami ruchu, a więc skoczek podczas zjazdu cała energię potencjalną zamienia na energię kinetyczną.

Poprzednie
Następne

Fizyka - wybrane pytania

Zadanie 2., strona 37, To jest fizyka. Klasa 7. Zeszyt ćwiczeń - rozwiązania i odpowiedzi
Ćwiczenie 5., strona 10, Fizyka. Klasa 8. Zeszyt ćwiczeń - rozwiązania i odpowiedzi
Zadanie 3., strona 205, Fizyka. Klasa 7-8. Zbiór zadań - rozwiązania i odpowiedzi
Ćwiczenie 14., strona 94, Fizyka. Świat fizyki. Klasa 8. Zeszyt ćwiczeń - rozwiązania i odpowiedzi
Zadanie 3, strona 140, Zrozumieć fizykę. Klasa 4. Poziom rozszerzony. Podręcznik - rozwiązania i odpowiedzi
Zadanie 3, strona 78, Fizyka. Klasa 7. Podręcznik – rozwiązania i odpowiedzi
Zadanie To trzeba umieć 2., strona 302, Odkryć fizykę. Klasa 3. Zakres podstawowy. Podręcznik - rozwiązania i odpowiedzi
Zadanie 4.3.21., strona 138, Zrozumieć fizykę. Klasa 1. Zakres rozszerzony. Zbiór zadań - rozwiązania i odpowiedzi
Ćwiczenie 12.31., strona 179, Fizyka. Klasa 1-3. Zakres podstawowy. Zbiór zadań - rozwiązania i odpowiedzi
Zadanie 5., strona 172, Fizyka. Klasa 1. Podręcznik. Zakres podstawowy - rozwiązania i odpowiedzi
REKLAMA
Skul
Zadania z tego działu
Dynamika
43
Siły wokół nas. III zasada dynamiki
44

Zadanie 1.

50

Zadanie 2.

50

Zadanie 3.

50

Zadanie 4.

50

Zadanie 5.

50
Siła wypadkowa. I zasada dynamiki
51

Zadanie 1.

58

Zadanie 2.

58

Zadanie 3.

58

Zadanie 4.

58

Zadanie 5.

58
II zasada dynamiki
59

Zadanie 1.

66

Zadanie 2.

66

Zadanie 3.

66

Zadanie 4.

66

Zadanie 5.

66
Opory ruchu
67

Zadanie 1.

74

Zadanie 2.

74

Zadanie 3.

74

Zadanie 4.

74

Podpunkt a)

73

Podpunkt b)

74

Podpunkt c)

74

Zadanie 5.

74

Podpunkt a)

74

Podpunkt b)

74

Podpunkt c)

74
Spadanie ciał
76

Zadanie 1.

81

Zadanie 2.

81

Zadanie 3.

81

Zadanie 4.

81

Zadanie 5.

81
Ruch po okręgu
82

Zadanie 1.

88

Podpunkt a)

88

Podpunkt b)

88

Zadanie 2.

88

Zadanie 3.

88

Zadanie 4.

88

Zadanie 5.

88
Siły bezwładności
89

Zadanie 1.

96

Podpunkt a)

96

Podpunkt b)

96

Podpunkt c)

96

Zadanie 2.

96

Zadanie 3.

96

Podpunkt a)

96

Podpunkt b)

96

Zadanie 4.

96

Zadanie 5.

96
Zasady dynamiki – przykłady
97

Zadanie 1.

103

Zadanie 2.

103

Zadanie 3.

103

Zadanie 4.

103

Zadanie 5.

103
Powtórzenie działu
106

Zadanie 1.

107

Zadanie 2.

107

Zadanie 3.

107

Zadanie 4.

107

Zadanie 5.

107

Zadanie 6.

108

Podpunkt a)

108

Podpunkt b)

108

Zadanie 7.

107

Zadanie 8.

107

Zadanie 9.

107
Pełny spis treści
Skul
Artboard 1
Skul.pl
  • Napisz do nas
  • FAQ
  • Mapa Serwisu
  • Google Play
  • App Store

Korzystanie z portalu oznacza akceptację Regulaminu.
Polityka prywatności. Ustawienia preferencji. Copyright: INTERIA.PL 1999-2023 Wszystkie prawa zastrzeżone.