Skul.pl
  • Opracowania zadań z podręczników
  • Fizyka. Klasa 1. Podręcznik. Zakres podstawowy - rozwiązania i odpowiedzi
  • Zadanie 5.

Fizyka. Klasa 1. Podręcznik. Zakres podstawowy - rozwiązania i odpowiedzi

Podręcznik, Wydawnictwo: WSiP
Poprzednie

Zadanie 5. - strona 66

Następne

Zadanie

Jakie są maksymalne i minimalne wartości przyspieszenia człowieka? Jakie jest wówczas jego ciężar?

Rozwiązanie

Różnica między maksymalną a minimalną wartością siły nacisku na podłoże wynosi 763 N.

Skul

Wyjaśnienie

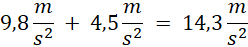
Wartość maksymalna przyspieszenia:

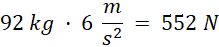
Minimalna wartość przyspieszenia:

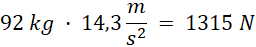
Maksymalne wypadkowe przyspieszenie:

Minimalne wypadkowe przyspieszenie:

Maksymalna siła nacisku:

Minimalna siła nacisku:

Różnica:

Poprzednie
Następne

Fizyka - wybrane pytania

Ćwiczenie 3., strona 60, Fizyka. Klasa 7. Zeszyt ćwiczeń – rozwiązania i odpowiedzi
Zadanie 4., strona 114, Spotkania z fizyką. Klasa 8. Podręcznik - rozwiązania i odpowiedzi
Zadanie 5.50., strona 64, Fizyka. Klasa 7-8. Zbiór zadań - rozwiązania i odpowiedzi
Zadanie 2., strona 286, Odkryć fizykę. Klasa 3. Zakres podstawowy. Podręcznik - rozwiązania i odpowiedzi
Zadanie 3, strona 75, Fizyka. Klasy 1-3. Zakres podstawowy. Zbiór zadań - rozwiązania i odpowiedzi
Ćwiczenie 6.38., strona 87, Fizyka. Klasa 1-3. Zakres podstawowy. Zbiór zadań - rozwiązania i odpowiedzi
Ćwiczenie 2.5, strona 25, Fizyka. Klasa 3. Zakres rozszerzony. Zbiór zadań - rozwiązania i odpowiedzi
Zadanie 1., strona 58, Fizyka. Klasa 7-8. Zbiór zadań - rozwiązania i odpowiedzi
Zadanie 4., strona 96, Fizyka. To jest fizyka. Klasa 8. Podręcznik - rozwiązania i odpowiedzi
Zadanie 3, strona 54, Fizyka. Klasy 1-3. Zakres podstawowy. Zbiór zadań - rozwiązania i odpowiedzi
REKLAMA
Skul
Zadania z tego działu
Dynamika
43
Siły wokół nas. III zasada dynamiki
44

Zadanie 1.

50

Zadanie 2.

50

Zadanie 3.

50

Zadanie 4.

50

Zadanie 5.

50
Siła wypadkowa. I zasada dynamiki
51

Zadanie 1.

58

Zadanie 2.

58

Zadanie 3.

58

Zadanie 4.

58

Zadanie 5.

58
II zasada dynamiki
59

Zadanie 1.

66

Zadanie 2.

66

Zadanie 3.

66

Zadanie 4.

66

Zadanie 5.

66
Opory ruchu
67

Zadanie 1.

74

Zadanie 2.

74

Zadanie 3.

74

Zadanie 4.

74

Podpunkt a)

73

Podpunkt b)

74

Podpunkt c)

74

Zadanie 5.

74

Podpunkt a)

74

Podpunkt b)

74

Podpunkt c)

74
Spadanie ciał
76

Zadanie 1.

81

Zadanie 2.

81

Zadanie 3.

81

Zadanie 4.

81

Zadanie 5.

81
Ruch po okręgu
82

Zadanie 1.

88

Podpunkt a)

88

Podpunkt b)

88

Zadanie 2.

88

Zadanie 3.

88

Zadanie 4.

88

Zadanie 5.

88
Siły bezwładności
89

Zadanie 1.

96

Podpunkt a)

96

Podpunkt b)

96

Podpunkt c)

96

Zadanie 2.

96

Zadanie 3.

96

Podpunkt a)

96

Podpunkt b)

96

Zadanie 4.

96

Zadanie 5.

96
Zasady dynamiki – przykłady
97

Zadanie 1.

103

Zadanie 2.

103

Zadanie 3.

103

Zadanie 4.

103

Zadanie 5.

103
Powtórzenie działu
106

Zadanie 1.

107

Zadanie 2.

107

Zadanie 3.

107

Zadanie 4.

107

Zadanie 5.

107

Zadanie 6.

108

Podpunkt a)

108

Podpunkt b)

108

Zadanie 7.

107

Zadanie 8.

107

Zadanie 9.

107
Pełny spis treści
Skul
Artboard 1
Skul.pl
  • Napisz do nas
  • FAQ
  • Mapa Serwisu
  • Google Play
  • App Store

Korzystanie z portalu oznacza akceptację Regulaminu.
Polityka prywatności. Ustawienia preferencji. Copyright: INTERIA.PL 1999-2023 Wszystkie prawa zastrzeżone.