Skul.pl
  • Opracowania zadań z podręczników
  • Fizyka. Klasa 1. Podręcznik. Zakres podstawowy - rozwiązania i odpowiedzi
  • Zadanie 2.

Fizyka. Klasa 1. Podręcznik. Zakres podstawowy - rozwiązania i odpowiedzi

Podręcznik, Wydawnictwo: WSiP
Poprzednie

Zadanie 2. - strona 88

Następne

Zadanie

Jaki jest stosunek prędkości liniowych końcówek obu wskazówek?

Rozwiązanie

Prędkość wskazówki minutowej jest większa 120 razy.

Skul

Wyjaśnienie

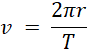
Prędkość liniową obliczamy ze wzoru:

Stosunek prędkość końcówki wskazówki godzinowej do minutowej:

Poprzednie
Następne

Fizyka - wybrane pytania

Zadanie 1., strona 180, Fizyka. Klasa 2. Podręcznik. Zakres rozszerzony – rozwiązania i odpowiedzi
Ćwiczenie Ćwiczenie C., strona 87, To jest fizyka. Klasa 7. Podręcznik - rozwiązania i odpowiedzi
Zadanie 1, strona 16, Spotkania z fizyką. Klasa 7. Podręcznik - rozwiązania i odpowiedzi
Zadanie 2., strona 220, Fizyka. Klasa 7-8. Zbiór zadań - rozwiązania i odpowiedzi
Pytanie 3., strona 200, Fizyka. Fizyka z plusem. Klasa 7. Podręcznik - rozwiązania i odpowiedzi
Ćwiczenie 7.79., strona 111, Fizyka. Klasa 1-3. Zakres podstawowy. Zbiór zadań - rozwiązania i odpowiedzi
Zadanie 10.7., strona 252, Zrozumieć fizykę. Klasa 2. Zakres rozszerzony. Zbiór zadań - rozwiązania i odpowiedzi
Zadanie 3.4.5., strona 101, Zrozumieć fizykę. Klasa 1. Zakres rozszerzony. Zbiór zadań - rozwiązania i odpowiedzi
Zadanie 1, strona 236, Fizyka. Klasa 3. Zakres podstawowy. Podręcznik - rozwiązania i odpowiedzi
Zadanie 2., strona 98, Fizyka. To jest fizyka. Klasa 8. Podręcznik - rozwiązania i odpowiedzi
REKLAMA
Skul
Zadania z tego działu
Dynamika
43
Siły wokół nas. III zasada dynamiki
44

Zadanie 1.

50

Zadanie 2.

50

Zadanie 3.

50

Zadanie 4.

50

Zadanie 5.

50
Siła wypadkowa. I zasada dynamiki
51

Zadanie 1.

58

Zadanie 2.

58

Zadanie 3.

58

Zadanie 4.

58

Zadanie 5.

58
II zasada dynamiki
59

Zadanie 1.

66

Zadanie 2.

66

Zadanie 3.

66

Zadanie 4.

66

Zadanie 5.

66
Opory ruchu
67

Zadanie 1.

74

Zadanie 2.

74

Zadanie 3.

74

Zadanie 4.

74

Podpunkt a)

73

Podpunkt b)

74

Podpunkt c)

74

Zadanie 5.

74

Podpunkt a)

74

Podpunkt b)

74

Podpunkt c)

74
Spadanie ciał
76

Zadanie 1.

81

Zadanie 2.

81

Zadanie 3.

81

Zadanie 4.

81

Zadanie 5.

81
Ruch po okręgu
82

Zadanie 1.

88

Podpunkt a)

88

Podpunkt b)

88

Zadanie 2.

88

Zadanie 3.

88

Zadanie 4.

88

Zadanie 5.

88
Siły bezwładności
89

Zadanie 1.

96

Podpunkt a)

96

Podpunkt b)

96

Podpunkt c)

96

Zadanie 2.

96

Zadanie 3.

96

Podpunkt a)

96

Podpunkt b)

96

Zadanie 4.

96

Zadanie 5.

96
Zasady dynamiki – przykłady
97

Zadanie 1.

103

Zadanie 2.

103

Zadanie 3.

103

Zadanie 4.

103

Zadanie 5.

103
Powtórzenie działu
106

Zadanie 1.

107

Zadanie 2.

107

Zadanie 3.

107

Zadanie 4.

107

Zadanie 5.

107

Zadanie 6.

108

Podpunkt a)

108

Podpunkt b)

108

Zadanie 7.

107

Zadanie 8.

107

Zadanie 9.

107
Pełny spis treści
Skul
Artboard 1
Skul.pl
  • Napisz do nas
  • FAQ
  • Mapa Serwisu
  • Google Play
  • App Store

Korzystanie z portalu oznacza akceptację Regulaminu.
Polityka prywatności. Ustawienia preferencji. Copyright: INTERIA.PL 1999-2023 Wszystkie prawa zastrzeżone.