Skul.pl
  • Opracowania zadań z podręczników
  • Fizyka. Klasa 1. Podręcznik. Zakres podstawowy - rozwiązania i odpowiedzi
  • Zadanie 4.

Fizyka. Klasa 1. Podręcznik. Zakres podstawowy - rozwiązania i odpowiedzi

Podręcznik, Wydawnictwo: WSiP
Poprzednie

Zadanie 4. - strona 88

Następne

Zadanie

Należy obliczyć maksymalną prędkość z jaką samochód może przejechać zakręt, czyli maksymalną siłę dośrodkową, którą może zredukować siłą tarcia opon samochodu o asfalt.

Rozwiązanie

Samochód może jechać maksymalnie z prędkością .

Skul

Wyjaśnienie

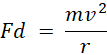
Siła dośrodkowa:

Siła ciężkości:

Maksymalna siła tarcia:

Poprzednie
Następne

Fizyka - wybrane pytania

Zadanie Podejmij temat 1, strona 74, Fizyka. Klasa 7. Podręcznik – rozwiązania i odpowiedzi
Pytanie 28., strona 169, Fizyka z plusem. Klasa 8. Podręcznik - rozwiązania i odpowiedzi
Pytanie 1, strona 11, Zrozumieć fizykę. Klasa 4. Poziom rozszerzony. Podręcznik - rozwiązania i odpowiedzi
Zadanie 23, strona 23, Fizyka. Klasy 1-3. Zakres podstawowy. Zbiór zadań - rozwiązania i odpowiedzi
Zadanie 2., strona 248, Fizyka. To jest fizyka. Klasa 8. Podręcznik - rozwiązania i odpowiedzi
Ćwiczenie 3., strona 14, Fizyka. Świat fizyki. Klasa 8. Zeszyt ćwiczeń - rozwiązania i odpowiedzi
Zadanie 5, strona 208, Spotkania z fizyką. Klasa 7. Podręcznik - rozwiązania i odpowiedzi
Zadanie 10.3.2., strona 202, Zrozumieć fizykę. Klasa 2. Zakres rozszerzony. Zbiór zadań - rozwiązania i odpowiedzi
Ćwiczenie 8.7., strona 12, Świat fizyki. Klasa 8. Zbiór zadań - rozwiązania i odpowiedzi
Ćwiczenie 1., strona 41, Fizyka. Świat fizyki. Klasa 8. Zeszyt ćwiczeń - rozwiązania i odpowiedzi
REKLAMA
Skul
Zadania z tego działu
Dynamika
43
Siły wokół nas. III zasada dynamiki
44

Zadanie 1.

50

Zadanie 2.

50

Zadanie 3.

50

Zadanie 4.

50

Zadanie 5.

50
Siła wypadkowa. I zasada dynamiki
51

Zadanie 1.

58

Zadanie 2.

58

Zadanie 3.

58

Zadanie 4.

58

Zadanie 5.

58
II zasada dynamiki
59

Zadanie 1.

66

Zadanie 2.

66

Zadanie 3.

66

Zadanie 4.

66

Zadanie 5.

66
Opory ruchu
67

Zadanie 1.

74

Zadanie 2.

74

Zadanie 3.

74

Zadanie 4.

74

Podpunkt a)

73

Podpunkt b)

74

Podpunkt c)

74

Zadanie 5.

74

Podpunkt a)

74

Podpunkt b)

74

Podpunkt c)

74
Spadanie ciał
76

Zadanie 1.

81

Zadanie 2.

81

Zadanie 3.

81

Zadanie 4.

81

Zadanie 5.

81
Ruch po okręgu
82

Zadanie 1.

88

Podpunkt a)

88

Podpunkt b)

88

Zadanie 2.

88

Zadanie 3.

88

Zadanie 4.

88

Zadanie 5.

88
Siły bezwładności
89

Zadanie 1.

96

Podpunkt a)

96

Podpunkt b)

96

Podpunkt c)

96

Zadanie 2.

96

Zadanie 3.

96

Podpunkt a)

96

Podpunkt b)

96

Zadanie 4.

96

Zadanie 5.

96
Zasady dynamiki – przykłady
97

Zadanie 1.

103

Zadanie 2.

103

Zadanie 3.

103

Zadanie 4.

103

Zadanie 5.

103
Powtórzenie działu
106

Zadanie 1.

107

Zadanie 2.

107

Zadanie 3.

107

Zadanie 4.

107

Zadanie 5.

107

Zadanie 6.

108

Podpunkt a)

108

Podpunkt b)

108

Zadanie 7.

107

Zadanie 8.

107

Zadanie 9.

107
Pełny spis treści
Skul
Artboard 1
Skul.pl
  • Napisz do nas
  • FAQ
  • Mapa Serwisu
  • Google Play
  • App Store

Korzystanie z portalu oznacza akceptację Regulaminu.
Polityka prywatności. Ustawienia preferencji. Copyright: INTERIA.PL 1999-2023 Wszystkie prawa zastrzeżone.