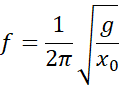
Należy obliczyć częstotliwość, z jaką akrobata musi wykonywać ruchu, aby amplituda była duża.
Dane:
Szukane:
Rozwiązanie:
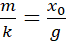
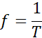
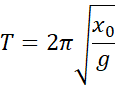
Szukana częstotliwość to ta dla, której amplituda będzie największa, kiedy akrobata stania na trampolinie ta się odchyli w dół o 10 cm i nie wykonuje żadnego ruchu, to oznacza, że siła grawitacji oraz siła sprężystości równoważą się, na podstawie tej równości wyprowadzamy związek
Zadanie 9.1.5.
135Zadanie 9.1.7.
136Zadanie 9.1.8.
136Zadanie 9.1.10.
136Zadanie 9.1.11.
137Zadanie 9.1.12.
137Zadanie 9.1.13.
137Zadanie 9.1.14.
137Zadanie 9.2.7.
144Zadanie 9.2.8.
144Zadanie 9.2.11.
145Zadanie 9.2.12.
145Zadanie 9.1.14.
145Zadanie 9.3.1
149Zadanie 9.3.7.
150Zadanie 9.3.8.
150Zadanie 9.3.10.
150Zadanie 9.3.11.
150Zadanie 9.3.12.
151Zadanie 9.3.14.
151Zadanie 9.4.2.
159Zadanie 9.4.10.
161Zadanie 9.4.17.
162Zadanie 1. Ruch drgający
174Zadanie 2. Suwnica bramowa
174Zadanie 3. Dwie sprężyny
175Zadanie 4. Winda towarowa
175Zadanie 5. Wahadło fizyczne
176