Dane:
Szukane:
Rozwiązanie:
Przed rozcięciem:
Po rozcięciu:
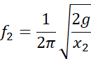
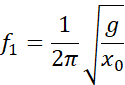
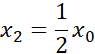
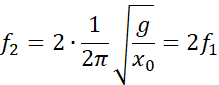
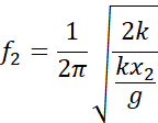
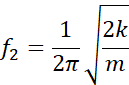
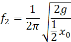
Zapisujemy wzór na okres drgań kuli przed rozcięciem. Wiemy, że zanim zaczęły się drgania, siła grawitacji była równa sile sprężystości. Na podstawie tej zależności obliczamy masę, którą podstawiamy do wzoru. Następnie takie samo rozumowanie przeprowadzamy dla przypadku po rozcięciu musimy, jednak pamiętać, że mamy wówczas do czynienia z układem dwóch sprężyn połączonych równolegle, czyli wypadkowy współczynnik sprężystości jest równy dwukrotności