Dane:
Szukane:
Rozwiązanie:
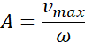
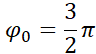
Korzystając ze wzoru na prędkość ciała drgającego oraz na prędkość maksymalną, obliczamy amplitudę. Następnie korzystając z funkcji trygonometrycznych i wzorów redukcyjnych, obliczamy fazę początkową. Przy obliczaniu fazy musimy zwrócić szczególną uwagę na to, jaka funkcja pojawia się w równaniu prędkość podanej w treści zadania, a jaka w ogólnym równaniu. W ogólnym równaniu mamy