Należy opisać zachowanie układu ciał po zderzeniu oraz obliczyć współczynnik sprężystości.
Dane:
Szukane:
Rozwiązanie:
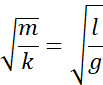
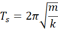
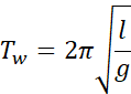
Korzystając ze wzorów na okresy drgań wahadła matematycznego oraz sprężynowego oraz danej w treści zadania równości obliczamy współczynnik sprężystości. Klocek zderza się z wahadłem dokładnie w jego położeniu równowagi, idealnie sprężyście, zatem jest zachowana zasada zachowania energii oraz pędu, wahadło przekazuje swój pęd i energię klockowi, przez co wahadło zaczyna ruch, a ponieważ klocek był przymocowany do sprężyny, to zaczyna ruch drgający.
Zadanie 9.1.5.
135Zadanie 9.1.7.
136Zadanie 9.1.8.
136Zadanie 9.1.10.
136Zadanie 9.1.11.
137Zadanie 9.1.12.
137Zadanie 9.1.13.
137Zadanie 9.1.14.
137Zadanie 9.2.7.
144Zadanie 9.2.8.
144Zadanie 9.2.11.
145Zadanie 9.2.12.
145Zadanie 9.1.14.
145Zadanie 9.3.1
149Zadanie 9.3.7.
150Zadanie 9.3.8.
150Zadanie 9.3.10.
150Zadanie 9.3.11.
150Zadanie 9.3.12.
151Zadanie 9.3.14.
151Zadanie 9.4.2.
159Zadanie 9.4.10.
161Zadanie 9.4.17.
162Zadanie 1. Ruch drgający
174Zadanie 2. Suwnica bramowa
174Zadanie 3. Dwie sprężyny
175Zadanie 4. Winda towarowa
175Zadanie 5. Wahadło fizyczne
176