Należy obliczyć masę ryby zawieszonej na wadze sprężynowej.
Rozwiązanie
Dane:
Szukane:
Rozwiązanie:
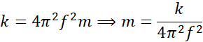
Współczynnik sprężystości obliczamy w przypadku, gdy masa jest maksymalna.
Wyjaśnienie
Korzystając ze wzorów , wyprowadzamy wzór na masę, współczynnik sprężystości obliczamy w przypadku, którym masa jest maksymalna wówczas wychylenie jest równe , wiemy, że zanim ryba wprawiła sprężynę w ruch siły działające na sprężynę, równoważyły się, czyli ich wypadkowa była równa 0, zatem siła grawitacji i siła sprężystości muszą być sobie równe, stąd wyliczamy współczynnik .