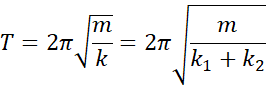
Należy udowodnić poprawność wzoru na okres drgań układu sprężyn połączonych równolegle.
Rozwiązanie
Niech:
Wypadkowa siła:
Zatem:
Wyjaśnienie
Skoro obydwie sprężyny mają to samo wychylenie, to na potrzeby dalszych przekształceń oznaczamy je po prostu przez . Na każdą sprężynę działa siła sprężystości, które oznaczamy i . Obydwie te siły mają ten sam kierunek i zwrot zatem ich siła wypadkowa jest sumą algebraiczną, wiemy również, że siła ta jest siła sprężystości całego układu, zatem wyraża się wzorem , przyrównując do siebie wzory i skracając przez , otrzymujemy wzór na zastępczy współczynnik sprężystości układu, który następnie podstawiamy pod we wzorze na okres drgań i tym sposobem dowodzimy tezy.