Dane:
Szukane:
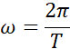
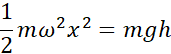
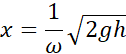
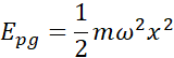
Rozwiązanie:
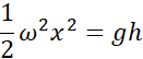
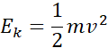
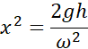
Korzystając z dwóch wzorów na energię potencjalną grawitacji, wyprowadzamy wzór na wychylenie, podstawiając za wysokość odpowiednią daną z zadania. Następnie na podstawie wzoru na energię kinetyczną wyprowadzamy wzór na prędkość, w miejsce energii kinetycznej podstawiamy zależność wyprowadzoną z zasady całkowitego zachowania energii.