| |||||
| 2 | 0 | 2 | |||
| 0 | 2 | 0 |
Dla
Dla
Dla
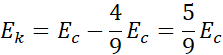
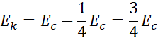
Najpierw obliczamy całkowitą energię, jest to suma energii kinetycznej i potencjalnej sprężystości i jest stale równa 2, co możemy odczytać z pierwszej kolumny. Korzystając ze wzoru na energię potencjalną sprężystości wyprowadzamy związki między energią potencjalną a całkowitą dla kolejnych wychyleń, energię kinetyczną obliczamy, odejmując od całkowitej potencjalną.