Należy obliczyć, o ile wzrośnie lub zmaleje energia mechaniczna układu po dokonaniu zmian.
Dane:
Szukane:
Rozwiązanie:
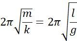
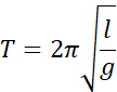
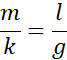
Korzystając ze wzorów na okresy drgań, wyliczamy współczynnik sprężystości, który następnie podstawiamy do wzoru na energię całkowitą, uzależniając tym samym wzór od amplitudy i długości wahadła. Następnie dokonując zmian podanych w treści, otrzymujemy, że nowa energia mechaniczna to ośmiokrotność starej, zatem wzrosła ośmiokrotnie.
Zadanie 9.1.5.
135Zadanie 9.1.7.
136Zadanie 9.1.8.
136Zadanie 9.1.10.
136Zadanie 9.1.11.
137Zadanie 9.1.12.
137Zadanie 9.1.13.
137Zadanie 9.1.14.
137Zadanie 9.2.7.
144Zadanie 9.2.8.
144Zadanie 9.2.11.
145Zadanie 9.2.12.
145Zadanie 9.1.14.
145Zadanie 9.3.1
149Zadanie 9.3.7.
150Zadanie 9.3.8.
150Zadanie 9.3.10.
150Zadanie 9.3.11.
150Zadanie 9.3.12.
151Zadanie 9.3.14.
151Zadanie 9.4.2.
159Zadanie 9.4.10.
161Zadanie 9.4.17.
162Zadanie 1. Ruch drgający
174Zadanie 2. Suwnica bramowa
174Zadanie 3. Dwie sprężyny
175Zadanie 4. Winda towarowa
175Zadanie 5. Wahadło fizyczne
176