Dane:
Szukane:
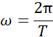
Rozwiązanie:
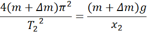
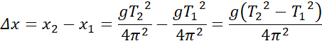
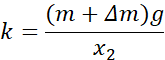
Po obciążeniu:
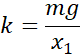
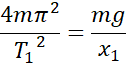
Przed obciążeniem na obiekt działały dwie siły, które się równoważyły siła ciężkości ciężarka i siła sprężystości. Podstawiając do równania odpowiednie wzory wyliczamy współczynnik sprężystości