Poszczególne sprężyny.
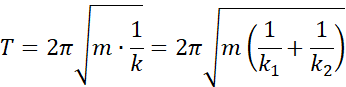
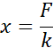
Zapisujemy siły sprężystości działające na cały układ i osobno na każdą sprężynę, następnie korzystamy z tego, że skoro układ jest w spoczynku, to siły sprężystości, działające na każdą sprężynę z osobna, równoważą się w punkcie styku, następnie korzystamy z tego, że siła sprężystości działająca na drugą sprężynę i siła grawitacji działająca na ciało zawieszone na niej są sobie równe, ale z drugiej strony siła grawitacji tego ciała jest równa sile sprężystości całego układu, gdyż nie wykonuje on żadnego ruchu, zatem wszystkie trzy siły sprężystości są sobie równe, kolejno wyliczamy wydłużenia