Należy podać odległość od punktu startowego, do położenia, w którym rozpoczęły się drgania.
Dane:
Szukane:
Rozwiązanie:
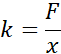
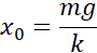
I zasada dynamiki:
Z wykresu odczytujemy dane potrzebne do obliczenia współczynnika sprężystości. Korzystając z I zasady dynamiki zapisujemy równanie w stanie spoczynku ciała zawieszonego na sprężynie, podstawiając odpowiednie wzory, wyprowadzamy wzór na wychylenie, które jest jednocześnie szukaną wielkością, dlatego, że badamy odległość od 0.
Zadanie 9.1.5.
135Zadanie 9.1.7.
136Zadanie 9.1.8.
136Zadanie 9.1.10.
136Zadanie 9.1.11.
137Zadanie 9.1.12.
137Zadanie 9.1.13.
137Zadanie 9.1.14.
137Zadanie 9.2.7.
144Zadanie 9.2.8.
144Zadanie 9.2.11.
145Zadanie 9.2.12.
145Zadanie 9.1.14.
145Zadanie 9.3.1
149Zadanie 9.3.7.
150Zadanie 9.3.8.
150Zadanie 9.3.10.
150Zadanie 9.3.11.
150Zadanie 9.3.12.
151Zadanie 9.3.14.
151Zadanie 9.4.2.
159Zadanie 9.4.10.
161Zadanie 9.4.17.
162Zadanie 1. Ruch drgający
174Zadanie 2. Suwnica bramowa
174Zadanie 3. Dwie sprężyny
175Zadanie 4. Winda towarowa
175Zadanie 5. Wahadło fizyczne
176