Dane:
Szukane:
Rozwiązanie:
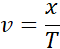
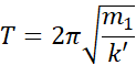
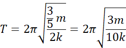
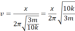
Rower będzie wpadać w rezonans, kiedy amplituda będzie duża, czyli wtedy kiedy rower będzie się zapadać w szczeliny z częstością równą częstości drgań własnych. Prędkość będzie równa stosunkowi długości jednej płytki do okresu ruchu. Okres obliczamy na podstawie wcześniej wymienionej zależności, czyli z podstawowego wzoru. Masę obliczamy na podstawie tego, że