Dane:
Szukane:
Rozwiązanie:
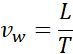
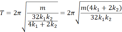
Prędkość wagonu to stosunek długości szyny do okresu. Aby zaszło zjawisko rezonansu, to częstość kołowa pociągu musi być równa częstości kołowej drgań własnych. Okres obliczamy zatem ze standardowego wzoru. Współczynnik wypadkowy całego układu to czterokrotność współczynnika sprężystości pojedynczego wagonu, ponieważ są one połączone równolegle, korzystając z informacji do zadania, obliczamy wypadkowy współczynnik dla wagonu, wiedząc, że są to dwa układy połączone ze sobą szeregowo z czego każdy to układ sprężyn połączonych równolegle, tak obliczona prędkość jest mniejsza, niż prędkość maksymalna pociągu, zatem zjawisko może zajść w zakresie dopuszczalnej prędkości.