Zadanie

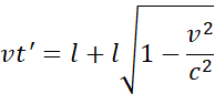
Długość rakiety jest tożsama z długością stacji kosmicznej i jest równa m. Rakieta leci z prędkością względem stacji. Na podstawie tych danych oblicz, jak długo będzie trwał przelot rakiety przez stację według astronauty w rakiecie oraz według astronauty na stacji. Pamiętaj, że czas przelotu to odstęp czasu pomiędzy momentem, kiedy czoło rakiety mija początek stacji, a momentem, gdy koniec rakiety mija koniec stacji.

Rozwiązanie

Wyjaśnienie

Zadania z tego działu
Elementy fizyki relatywistycznej
271