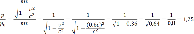
Proton został przyspieszony w akceleratorze do prędkości . Podaj iloraz pędu p, otrzymanego ze wzoru relatywistycznego i pędu obliczonego klasycznie.
Rozwiązanie
Wyjaśnienie
Zapisz stosunek pędów wyznaczanych dwoma sposobami. Następnie rozpisz niewiadome, korzystając ze wzorów na pęd. Skróć powtarzające się wielkości, wstaw dane liczbowe i wykonaj obliczenia.