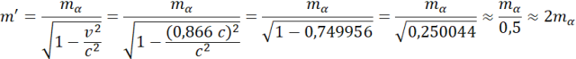
Określ masę relatywistyczną, którą ma cząstka alfa poruszająca się z prędkością , wiedząc, że jej masa spoczynkowa wynosi .
Wykorzystaj zależność występującą między masą relatywistyczną, a masą spoczynkową. Wstaw dane i wykonaj odpowiednie obliczenia.
Zadanie 19.1.1
Podpunkt a)
Podpunkt b)
Podpunkt c)
Podpunkt d)
Podpunkt e)
Podpunkt f)
Podpunkt g)
Zadanie 19.1.2
Zadanie 19.1.3
Zadanie 19.1.4
Zadanie 19.1.5
Zadanie 19.1.6
Zadanie 19.1.7
Zadanie 19.1.8
Zadanie 19.1.9
Zadanie 19.1.10
Zadanie 19.1.11
Zadanie 19.1.12
Zadanie 19.1.13
Zadanie 19.1.14
Zadanie 19.2.1
Zadanie 19.2.2
Zadanie 19.2.3
Zadanie 19.2.4
Zadanie 19.2.5
Zadanie 19.2.6
Zadanie 19.2.7
Zadanie 19.2.8
Zadanie 19.2.9
Zadanie 19.2.10
Zadanie 19.2.11
Zadanie 19.2.12
Zadanie 19.2.13
Zadanie 19.2.14
Zadanie 19.2.15
Zadanie 19.2.16
Zadanie 19.2.17
Zadanie 19.1
Zadanie 19.2
Zadanie 19.3
Zadanie 19.4
Zadanie 19.5
Zadanie 19.6
Zadanie 19.7
Zadanie 19.8
Zadanie 19.9
Zadanie 19.10
Zadanie 19.11
Zadanie 19.12
Zadanie 19.13
Zadanie 19.14
Zadanie 19.15
Zadanie 19.16
Zadanie 1.1
Zadanie 1.2
Zadanie 1.3
Zadanie 1.4
Zadanie 2.1
Zadanie 2.2
Zadanie 2.3
Zadanie 2.4
Zadanie 2.5
Zadanie 3.1
Zadanie 3.2
Zadanie 3.3