Dla protonu i neutronu uzyskujemy zależność (19.9, 19.10):
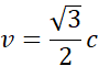
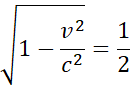
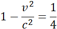
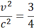
Zapisz zależność występującą między prędkościami cząstek, a znanymi parametrami, korzystając z obliczeń wykonanych w zadaniu 19.1 i 19.2. Przekształć powstały wzór do końcowej zależności prędkości cząstek i prędkości światła.