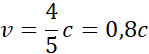
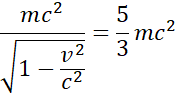
Wiedząc, że energia kinetyczna elektronu wynosi jego energii spoczynkowej, określ prędkość, z jaką porusza się elektron.
Rozwiązanie
Wyjaśnienie
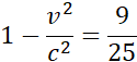
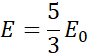
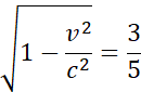
Zapisz zależność przedstawioną w treści zadania. Wykorzystaj wzór na energię kinetyczną i energię spoczynkową w podejściu relatywistycznym. Przekształć powstałą zależność, wstaw dane liczbowe i wykonaj obliczenia.