Zadanie

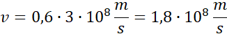
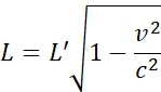
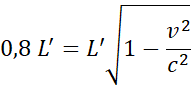
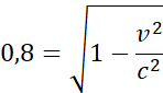
W układzie odniesienia, w którym pręt poruszał się z prędkością , ustalono, że długość pręta była o 20% mniejsza niż jego długość własna. Podaj prędkość pręta w podanym układzie.

Rozwiązanie

Wyjaśnienie

Zadania z tego działu
Elementy fizyki relatywistycznej
271