Zadanie

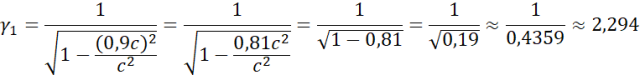
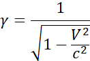
We wzorach relatywistycznych pojawia się współczynnik . Podaj jego wartość i na tej podstawie ustal, czy w opisanych sytuacjach należy uwzględnić efekty relatywistyczne.

Elektrony przyspieszają w akceleratorze do prędkości i .

Rozwiązanie

Wyjaśnienie

Zadania z tego działu
Elementy fizyki relatywistycznej
271