Określ prędkość elektronów, jeśli uzyskały one w akceleratorze maksymalną energię kinetyczną (charakterystyczną dla tego akceleratora). Zapisz ją w formie wielokrotności prędkości światła z dokładnością do 7 miejsc po przecinku.
Rozwiązanie
Wyjaśnienie
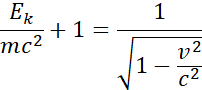
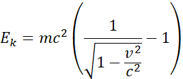
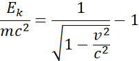
Wykorzystaj wzór na energię kinematyczną w podejściu relatywistycznym. Przekształć wzór do zależności prędkości elektronu do prędkości światła. Na koniec wstaw dane liczbowe w odpowiednich jednostkach i wykonaj obliczenia.