Zadanie

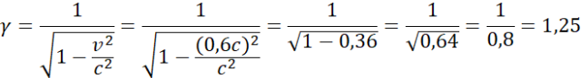
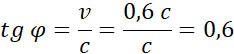
Statek kosmiczny obcych przelatuje z prędkością względem Ziemi. Ze statku została wystrzelona sonda zwiadowczą, której nadano prędkość względem statku. Wyznacz graficznie prędkość sondy oraz ukaż transformacje Lorentza na układzie współrzędnych. Załóż, że zdarzenie „wystrzelono sondę zwiadowczą” będzie początkiem obu układów współrzędnych. Na koniec sprawdź, czy sonda porusza się względem Ziemi z prędkością nadświetlną.

Rozwiązanie

Wyjaśnienie

Zadania z tego działu
Elementy fizyki relatywistycznej
271