Zadanie

Oblicz czas hamowania narciarza po poziomej powierzchni, jeśli zjechał ze stoku z prędkością 6 , a współczynnik tarcia nart o śnieg wynosi 0,2. Załóż, że przyspieszenie ziemskie wynosi 10 .

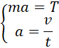
Rozwiązanie

Wyjaśnienie

Zadania z tego działu
4. Ruch i siły
113