l = 6 m
m = 68 kg
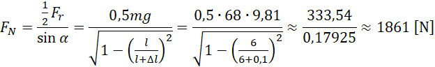
Siła reakcji liny:
Sinus kąta
Szukana siła naprężenia liny:
Zmiana naprężenia:
Zmiana naprężenie to końcowa wartość naprężenia pomniejszona o początkową jej wartość. Możesz ją wyznaczyć za pomocą funkcji trygonometrycznej sinus. Nie znany jest jednak kąt ani wartość siły reakcji liny. Siła reakcji liny musi równoważyć siłę grawitacji. Kąt