Wciąganie:
Opuszczenie:
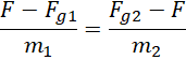
Porównanie przyspieszeń:
Wyznaczenie siły podnoszenia:
Wyznaczenie masy:
Odp. Ze stałą prędkością można podnosić lub opuszczać około 243,75 kg.
Dla obu sytuacji zapisujesz II zasadę dynamiki Newtona, z których wyznaczasz przyspieszenie. Porównując oba przyspieszenia ze sobą, możesz wyznaczyć wartość siły podnośnika. W zadaniu jest prośba o wyznaczenie masy. Jeśli podnośnik ma pracować ze stałą prędkością, to znaczy, że jego siła równoważy siłę grawitacji, dlatego uzyskaną siłę możesz podzielić przez przyspieszenie ziemskie, aby uzyskać masę.