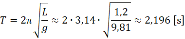
L = 1,2 m
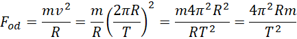
R = 0,6 m
m = 200 g = 0,2 kg
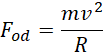
Siła odśrodkowa – wzór klasyczny:
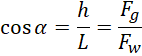
Siła odśrodkowa – funkcje trygonometryczne:
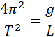
Porównanie wzorów na siłę odśrodkową:
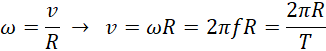
Okres – czas jednego okrążenia:
Siła naciągu nici:
Aby wyznaczyć okres drgań wahadła, oblicz wartość siły odśrodkowej dwoma sposobami. Najpierw jako wzór klasyczny, w którym uwzględnisz okres drgania. Następnie porównaj ten wzór z wartością siły dośrodkowej, którą można wyznaczyć za pomocą funkcji trygonometrycznych tak, jak pokazano to na rysunku. Siła naciągu liny równoważy siłę odśrodkową i siłę ciężkości.