Zadanie

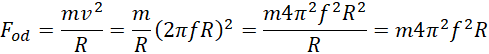
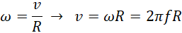
Na rysunku przedstawiono suszarkę do sałaty. Jest to koszyk o promieniu 12 cm, który się obraca. W tym zadaniu policz, jaka jest najmniejsza częstotliwość, z jaką należy kręcić korbką tak, aby liście na ścianie nie opadły. Współczynnik tarcia pomiędzy liśćmi a plastikiem koszyka wynosi 0,8.

Rozwiązanie

Wyjaśnienie

Zadania z tego działu
4. Ruch i siły
113