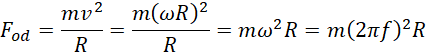
m = 4 kg
R = 1,5 m
f = 1 Hz
Naciąg liny w najwyższym punkcie:
Naciąg liny w najniższym punkcie:
Narysuj sobie siły działające na kule w obu położeniach. Podana częstotliwość obrotów sugeruje, że prędkość kuli jest stała, a zatem działające siły muszą się równoważyć. Siła naciągu liny równoważy siłę odśrodkową oraz prostopadłą składową grawitacji. W wyniku jedna z sił ma wartość ujemną. Wynika to z tego, że wektory tych sił mają przeciwny zwrot.