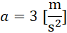
Wyznacz przyspieszenie i naprężenie linki pomiędzy klockami przedstawionymi na rysunku. Masa pierwszego z nich to 600 g, drugiego to 400 g, a działające siły to kolejno 4,5 N oraz 1,5 N.
Rozwiązanie
= 4,5 N
= 1,5 N
Wyjaśnienie
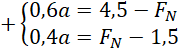
Zapisz sobie układ równań i od razu podstaw do niego wartości liczbowe, aby uniknąć długich wyprowadzeń wzorów.