II zasada dynamiki Newtona – wyznaczenie przyspieszenia:
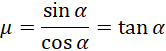
Wyznaczenie współczynnika tarcia:
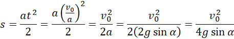
Przyspieszenie to:
Droga, jaką pokonała skrzynia:
Odp. Skrzynia pokona na równi drogę 20,39 m.
Aby obliczyć, jaką drogę pokonała skrzynia, najpierw musisz wyznaczyć jej przyspieszenie. Okaże się, że z danych brakuje ci współczynnika tarcia. Wyznaczysz go za pomocą hipotetycznej sytuacji, w której skrzynia została puszczona z góry równi. Zmienia się wtedy zwrot wektora siły tarcia. Po wyznaczeniu przyspieszenia obliczasz drogę pokonaną przez skrzynie, korzystając ze wzoru na drogę w ruchu przyspieszonym.