Zadanie

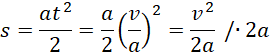
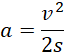
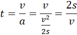
Samochód ma masę 1000 kg. Kierowca zatrzymał się na podjeździe o nachyleniu 15º i nie zaciągnął ręcznego hamulca, przez co samochód zaczął zjeżdżać ze wzniesienia. Po przejechaniu 20 m osiągnął prędkość 2 . Oblicz czas, w jakim samochód pokonał podaną drogę oraz wyznaczyć wartość sił oporu działających na samochód.

Rozwiązanie

Wyjaśnienie

Zadania z tego działu
4. Ruch i siły
113