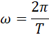
t = 1 s
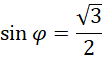
φ = 60°
Kierunki odchylenia:
Siła Coriolisa:
Przyspieszenie dla strzelca strzelającego na zachód:
Przyspieszenie dla strzelca strzelającego na południe:
Wyliczenie kierunków odchylenia:
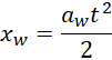
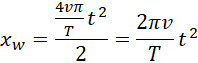
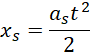
Pociski pod wpływem siły Coriolisa odchylą się w danym kierunku z pewnym przyspieszeniem. Dlatego wykorzystaj wzór na drogę w ruchu przyspieszonym. Potrzebujesz wyznaczyć przyspieszenia każdego z tych pocisków. Dla strzelca, który strzela w kierunku zachodnim, siła Coriolisa jest skierowana prostopadle do obrotu Ziemi, czyli pod kątem prostym. Dla strzelca, który strzela w kierunku południowym siła Coriolisa jest skierowana na zachód.