Zadanie

Oblicz, jaka była prędkość początkowa skrzynki, jeśli zatrzymała się po przebyciu drogi 1,25 m, a współczynnik tarcia pomiędzy skrzynką a podłogą wynosi 0,09. Załóż w tym zadaniu, że przyspieszenie ziemskie wynosi 9,81

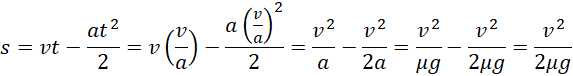
Rozwiązanie

Wyjaśnienie

Zadania z tego działu
4. Ruch i siły
113