Zadanie

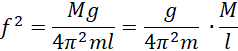
W doświadczeniu opisanym w poprzednim zadaniu uczniowie wykazali, że częstotliwość ruchu po okręgu zależy od parametrów układu w następujący sposób: . Częstotliwość nie zależy od kąta, z jakim żyłka była odchylona od poziomu. Twoim zadaniem jest wyznaczyć tę zależność samodzielnie.

Rozwiązanie

Wyjaśnienie

Zadania z tego działu
4. Ruch i siły
113