μ = 0,2
II zasada dynamiki Newtona:
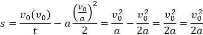
Droga pokonana przez narciarza:
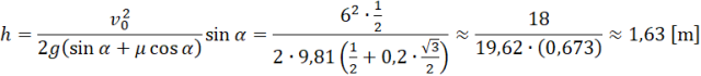
Wysokość, na jakiej będzie narciarz:
Narysuj sobie opisaną sytuację. Wyznacz wartości sił za pomocą funkcji trygonometrycznych. Zauważ, że wysokość, na której narciarz zacznie się cofać, nie jest tym samym co przejechana przez niego droga.