m = 40 kg
F = 300 N
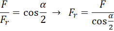
Zaznacz na rysunku odpowiednie siły. Skorzystaj z funkcji trygonometrycznej cosinus, aby wyznaczyć wartość siły wypadkowej sił naciągu liny.