Działające siły:
Ruch krążka:
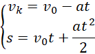
Czas ruchu:
Prędkość końcowa:
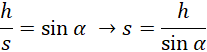
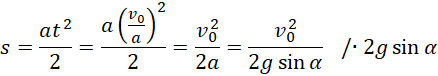
Wysokość a pokonana droga:
Narysuj sobie przedstawioną sytuację i opisz działające siły. Następnie wykorzystaj wzory z ruchu przyspieszonego, dzięki którym wysokość, na jakiej zatrzyma się krążek.